NCERT Solutions for Class 12 Maths Chapter 7 Integrals
Class 12 Maths Chapter 7 NCERT Solutions Integrals
NCERT Solutions for Class 12 Maths Chapter 7 – Integrals contains step-by-step and detailed solutions for every question.
- Introduction
- Integration as an Inverse Process of Differentiation
- Geometrical interpretation of indefinite integral
- Some properties of indefinite integral
- Comparison between differentiation and integration
- Methods of Integration
- Integration by substitution
- Integration using trigonometric identities
- Integrals of Some Particular Functions
- Integration by Partial Fractions
- Integration by Parts
- Integral of the type
- Integrals of some more types
- Definite Integral
- Definite integral as the limit of a sum
- Fundamental Theorem of Calculus
- Area function
- First fundamental theorem of integral calculus
- Second fundamental theorem of integral calculus
- Evaluation of Definite Integrals by Substitution
- Some Properties of Definite Integrals
Integrals Ex 7.1 Class 12
Ex 7.1 Class 12 Maths Question 1.
sin 2x
Solution:

Ex 7.1 Class 12 Maths Question 2.
cos 3x
Solution:

Ex 7.1 Class 12 Maths Question 3.
\({ e }^{ 2x }\)
Solution:

Ex 7.1 Class 12 Maths Question 4.
(ax + c)²
Solution:

Ex 7.1 Class 12 Maths Question 5.
\({ sin\quad 2x-4e }^{ 3x }\)
Ex 7.1 Class 12 Maths Solution:

Find the following integrals in Exercises 6 to 20 :
Ex 7.1 Class 12 Maths Question 6.
\(\int { \left( { 4e }^{ 3x }+1 \right) dx } \)
Solution:

Ex 7.1 Class 12 Maths Question 7.
\(\int { { x }^{ 2 }\left( 1-\frac { 1 }{ { x }^{ 2 } } \right) dx } \)
Solution:

Ex 7.1 Class 12 Maths Question 8.
\(\int { { (ax }^{ 2 }+bx+c)dx } \)
Solution:

Ex 7.1 Class 12 Maths Question 9.
\(\int { \left( { 2x }^{ 2 }+{ e }^{ x } \right) dx } \)
Solution:

Ex 7.1 Class 12 Maths Question 10.
\(\int { { \left[ \sqrt { x } -\frac { 1 }{ \sqrt { x } } \right] }^{ 2 }dx } \)
Solution:

Ex 7.1 Class 12 Maths Question 11.
\(\int { \frac { { x }^{ 3 }+{ 5x }^{ 2 }-4 }{ { x }^{ 2 } } dx } \)
Solution:

Ex 7.1 Class 12 Maths Question 12.
\(\int { \frac { { x }^{ 3 }+3x+4 }{ \sqrt { x } } dx } \)
Solution:

Ex 7.1 Class 12 Maths Question 13.
\(\int { \frac { { x }^{ 3 }-{ x }^{ 2 }+x-1 }{ x-1 } dx } \)
Solution:

Ex 7.1 Class 12 Maths Question 14.
\(\int { \left( 1-x \right) \sqrt { x } dx } \)
Solution:

Ex 7.1 Class 12 Maths Question 15.
\(\int { \sqrt { x } \left( { 3x }^{ 2 }+2x+3 \right) dx } \)
Solution:

Ex 7.1 Class 12 Maths Question 16.
\(\int { (2x-3cosx+{ e }^{ x })dx } \)
Solution:

Ex 7.1 Class 12 Maths Question 17.
\(\int { \left( { 2x }^{ 2 }-3sinx+5\sqrt { x } \right) dx } \)
Solution:

Ex 7.1 Class 12 Maths Question 18.
\(\int { secx(secx+tanx)dx } \)
Solution:

Ex 7.1 Class 12 Maths Question 19.
\(\int { \frac { { sec }^{ 2 }x }{ { cosec }^{ 2 }x } dx } \)
Solution:

Ex 7.1 Class 12 Maths Question 20.
\(\int { \frac { 2-3sinx }{ { cos }^{ 2 }x } dx } \)
Solution:

Choose the correct answer in Exercises 21 and 22.
Ex 7.1 Class 12 Maths Question 21.
The antiderivative \(\left( \sqrt { x } +\frac { 1 }{ \sqrt { x } } \right) \) equals
(a) \(\frac { 1 }{ 3 } { x }^{ \frac { 1 }{ 3 } }+{ 2x }^{ \frac { 1 }{ 2 } }+c\)
(b) \(\frac { 2 }{ 3 } { x }^{ \frac { 2 }{ 3 } }+{ \frac { 1 }{ 2 } x }^{ 2 }+c\)
(c) \(\frac { 2 }{ 3 } { x }^{ \frac { 3 }{ 2 } }+{ 2x }^{ \frac { 1 }{ 2 } }+c\)
(d) \(\frac { 3 }{ 2 } { x }^{ \frac { 3 }{ 2 } }+\frac { 1 }{ 2 } { x }^{ \frac { 1 }{ 2 } }+c\)
Solution:

Ex 7.1 Class 12 Maths Question 22.
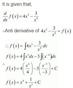
If \(\frac { d }{ dx } f(x)={ 4x }^{ 3 }-\frac { 3 }{ { x }^{ 4 } } \) such that f(2)=0 then f(x) is
(a) \({ x }^{ 4 }+\frac { 1 }{ { x }^{ 3 } } -\frac { 129 }{ 8 } \)
(b) \({ x }^{ 3 }+\frac { 1 }{ { x }^{ 4 } } +\frac { 129 }{ 8 } \)
(c) \({ x }^{ 4 }+\frac { 1 }{ { x }^{ 3 } } +\frac { 129 }{ 8 } \)
(d) \({ x }^{ 3 }+\frac { 1 }{ { x }^{ 4 } } -\frac { 129 }{ 8 } \)
Solution:

Integrals Ex 7.2 Class 12
Integrate the functions in Exercises 1 to 37:
Ex 7.2 Class 12 Maths Question 1.
\(\frac { 2x }{ 1+{ x }^{ 2 } } \)
Solution:

Ex 7.2 Class 12 Maths Question 2.
\(\frac { { \left( logx \right) }^{ 2 } }{ x } \)
Solution:

Ex 7.2 Class 12 Maths Question 3.
\(\frac { 1 }{ x+xlogx } \)
Solution:

Ex 7.2 Class 12 Maths Question 4.
sinx sin(cosx)
Solution:

Ex 7.2 Class 12 Maths Question 5.
sin(ax+b) cos(ax+b)
Solution:

Ex 7.2 Class 12 Maths Question 6.
\(\sqrt { ax+b } \)
Solution:

Ex 7.2 Class 12 Maths Question 7.
\(x\sqrt { x+2 } \)
Solution:

Ex 7.2 Class 12 Maths Question 8.
\(x\sqrt { 1+{ 2x }^{ 2 } } \)
Solution:

Ex 7.2 Class 12 Maths Question 9.
\((4x+2)\sqrt { { x }^{ 2 }+x+1 } \)
Solution:

Ex 7.2 Class 12 Maths Question 10.
\(\frac { 1 }{ x-\sqrt { x } } \)
Solution:

Ex 7.2 Class 12 Maths Question 11.
\(\frac { x }{ \sqrt { x+4 } } ,x>0\)
Solution:

Ex 7.2 Class 12 Maths Question 12.
\({ { (x }^{ 3 }-1) }^{ \frac { 1 }{ 3 } }.{ x }^{ 5 }\)
Solution:

Ex 7.2 Class 12 Maths Question 13.
\(\frac { { x }^{ 2 } }{ { { (2+3x }^{ 3 }) }^{ 3 } } \)
Solution:

Ex 7.2 Class 12 Maths Question 14.
\(\frac { 1 }{ x(logx)^{ m } } ,x>0\)
Solution:

Ex 7.2 Class 12 Maths Question 15.
\(\frac { x }{ 9-4{ x }^{ 2 } } \)
Solution:

Ex 7.2 Class 12 Maths Question 16.
\({ e }^{ 2x+3 }\)
Solution:

Ex 7.2 Class 12 Maths Question 17.
\(\frac { x }{ { e }^{ { x }^{ 2 } } } \)
Solution:

Ex 7.2 Class 12 Maths Question 18.
\(\frac { { e }^{ { tan }^{ -1 }x } }{ 1+{ x }^{ 2 } } \)
Solution:

Ex 7.2 Class 12 Maths Question 19.
\(\frac { { e }^{ 2x }-1 }{ { e }^{ 2x }+1 } \)
Solution:

Ex 7.2 Class 12 Maths Question 20.
\(\frac { { e }^{ 2x }-{ e }^{ 2x } }{ { e }^{ 2x }+{ e }^{ -2x } } \)
Solution:

Ex 7.2 Class 12 Maths Question 21.
tan²(2x-3)
Solution:
∫tan²(2x-3)dx = ∫[sec²(2x-3)-1]dx = I
put 2x-3 = t
so that 2dx = dt
I = \(\frac { 1 }{ 2 }\) ∫sec²t dt-x+c
= \(\frac { 1 }{ 2 }t-x+c\)
= \(\frac { 1 }{ 2 }tan(2x-3)-x+c\)
Ex 7.2 Class 12 Maths Question 22.
sec²(7-4x)
Solution:

Ex 7.2 Class 12 Maths Question 23.
\(\frac { { sin }^{ -1 }x }{ \sqrt { 1-{ x }^{ 2 } } } \)
Solution:

Ex 7.2 Class 12 Maths Question 24.
\(\frac { 2cosx-3sinx }{ 6cosx+4sinx }\)
Solution:

Ex 7.2 Class 12 Maths Question 25.
\(\frac { 1 }{ { cos }^{ 2 }x{ (1-tanx) }^{ 2 } } \)
Solution:

Ex 7.2 Class 12 Maths Question 26.
\(\frac { cos\sqrt { x } }{ \sqrt { x } } \)
Solution:

Ex 7.2 Class 12 Maths Question 27.
\(\sqrt { sin2x } cos2x\)
Solution:

Ex 7.2 Class 12 Maths Question 28.
\(\frac { cosx }{ \sqrt { 1+sinx } } \)
Solution:

Ex 7.2 Class 12 Maths Question 29.
cotx log sinx
Solution:

Ex 7.2 Class 12 Maths Question 30.
\(\frac { sinx }{ 1+cosx }\)
Solution:

Ex 7.2 Class 12 Maths Question 31.
\(\frac { sinx }{ { (1+cosx) }^{ 2 } } \)
Solution:

Ex 7.2 Class 12 Maths Question 32.
\(\frac { 1 }{ 1+cotx }\)
Solution:

Ex 7.2 Class 12 Maths Question 33.
\(\frac { 1 }{ 1-tanx }\)
Solution:

Ex 7.2 Class 12 Maths Question 34.
\(\frac { \sqrt { tanx } }{ sinxcosx } \)
Solution:

Ex 7.2 Class 12 Maths Question 35.
\(\frac { { (1+logx) }^{ 2 } }{ x } \)
Solution:

Ex 7.2 Class 12 Maths Question 36.
\(\frac { (x+1){ (x+logx) }^{ 2 } }{ x } \)
Solution:

Ex 7.2 Class 12 Maths Question 37.
\(\frac { { x }^{ 3 }sin({ tan }^{ -1 }{ x }^{ 4 }) }{ 1+{ x }^{ 8 } } dx \)
Solution:

Choose the correct answer in exercises 38 and 39
Ex 7.2 Class 12 Maths Question 38.
\(\int { \frac { { 10x }^{ 9 }+{ 10 }^{ x }log{ e }^{ 10 } }{ { x }^{ 10 }+{ 10 }^{ x } } dx } \)
(a) 10x – x10 + C
(b) 10x + x10 + C
(c) (10x – x10) + C
(d) log (10x + x10) + C
Solution:

Ex 7.2 Class 12 Maths Question 39.
\(\int { \frac { dx }{ { sin }^{ 2 }x{ \quad cos }^{ 2 }x } = } \)
(a) tanx + cotx + c
(b) tanx – cotx + c
(c) tanx cotx + c
(d) tanx – cot2x + c
Solution:

Move to Top → Class 12 Integrals Chapter 7
Integrals Ex 7.3 Class 12
Find the integrals of the functions in Exercises 1 to 22.
Ex 7.3 Class 12 Maths Question 1.
sin²(2x+5)
Solution:

Ex 7.3 Class 12 Maths Question 2.
sin3x cos4x
Solution:

Ex 7.3 Class 12 Maths Question 3.
∫cos2x cos4x cos6x dx
Solution:

Ex 7.3 Class 12 Maths Question 4.
∫sin3(2x+1)dx
Solution:

Ex 7.3 Class 12 Maths Question 5.
sin3x cos3x
Solution:

Ex 7.3 Class 12 Maths Question 6.
sinx sin2x sin3x
Solution:

Ex 7.3 Class 12 Maths Question 7.
sin 4x sin 8x
Solution:

Ex 7.3 Class 12 Maths Question 8.
\(\frac { 1-cosx }{ 1+cosx }\)
Solution:

Ex 7.3 Class 12 Maths Question 9.
\(\frac { cosx }{ 1+cosx }\)
Solution:

Ex 7.3 Class 12 Maths Question 10.
∫sinx4 dx
Solution:

Ex 7.3 Class 12 Maths Question 11.
cos4 2x
Solution:

Ex 7.3 Class 12 Maths Question 12.
\(\frac { { sin }^{ 2 }x }{ 1+cosx } \)
Solution:

Ex 7.3 Class 12 Maths Question 13.
\(\frac { cos2x-cos2\alpha }{ cosx-cos\alpha } \)
Solution:

Ex 7.3 Class 12 Maths Question 14.
\(\frac { cosx-sinx }{ 1+sin2x }\)
Solution:

Ex 7.3 Class 12 Maths Question 15.
\(\int { { tan }^{ 3 }2x\quad sec2x\quad dx=I } \)
Solution:

Ex 7.3 Class 12 Maths Question 16.
tan4x
Solution:

Ex 7.3 Class 12 Maths Question 17.
\(\frac { { sin }^{ 3 }x+{ cos }^{ 3 }x }{ { sin }^{ 2 }x{ cos }^{ 2 }x } \)
Solution:

Ex 7.3 Class 12 Maths Question 18.
\(\frac { cos2x+{ 2sin }^{ 2 }x }{ { cos }^{ 2 }x } \)
Solution:

Ex 7.3 Class 12 Maths Question 19.
\(\frac { 1 }{ sinx{ cos }^{ 3 }x } \)
Solution:

Ex 7.3 Class 12 Maths Question 20.
\(\frac { cos2x }{ { (cosx+sinx) }^{ 2 } } \)
Solution:

Ex 7.3 Class 12 Maths Question 21.
sin-1 (cos x)
Solution:


Ex 7.3 Class 12 Maths Question 22.
\(\int { \frac { 1 }{ cos(x-a)cos(x-b) } dx } \)
Solution:

Ex 7.3 Class 12 Maths Question 23.
\(\int { \frac { { sin }^{ 2 }x-{ cos }^{ 2 }x }{ { sin }^{ 2 }x{ cos }^{ 2 }x } } dx\quad is\quad equal\quad to\)
(a) tanx+cotx+c
(b) tanx+cosecx+c
(c) -tanx+cotx+c
(d) tanx+secx+c
Solution:

Ex 7.3 Class 12 Maths Question 24.
\(\int { \frac { e^{ x }(1+x) }{ cos^{ 2 }({ e }^{ x }.{ x }) } } dx\quad is\quad equal\quad to\)
(a) -cot(e.xx)+c
(b) tan(xex)+c
(c) tan(ex)+c
(d) cot ex+c
Solution:

Integrals Class 12 Ex 7.4
Ex 7.4 Class 12 Maths Question 1.
\(\frac { { 3x }^{ 2 } }{ { x }^{ 6 }+1 } \)
Solution:

Ex 7.4 Class 12 Maths Question 2.
\(\frac { 1 }{ \sqrt { 1+{ 4x }^{ 2 } } } \)
Solution:

Ex 7.4 Class 12 Maths Question 3.
\(\frac { 1 }{ \sqrt { { (2-x) }^{ 2 }+1 } } \)
Solution:

Ex 7.4 Class 12 Maths Question 4.
\(\frac { 1 }{ \sqrt { 9-{ 25x }^{ 2 } } } \)
Solution:

Ex 7.4 Class 12 Maths Question 5.
\(\frac { 3x }{ 1+{ 2x }^{ 4 } } \)
Solution:

Ex 7.4 Class 12 Maths Question 6.
\(\frac { { x }^{ 2 } }{ 1-{ x }^{ 6 } } \)
Solution:

Ex 7.4 Class 12 Maths Question 7.
\(\frac { x-1 }{ \sqrt { { x }^{ 2 }-1 } } \)
Solution:

Ex 7.4 Class 12 Maths Question 8.
\(\frac { { x }^{ 2 } }{ \sqrt { { x }^{ 6 }+{ a }^{ 6 } } } \)
Solution:

Ex 7.4 Class 12 Maths Question 9.
\(\frac { { sec }^{ 2 }x }{ \sqrt { { tan }^{ 2 }x+4 } } \)
Solution:

Ex 7.4 Class 12 Maths Question 10.
\(\frac { 1 }{ \sqrt { { x }^{ 2 }+2x+2 } } \)
Solution:

Ex 7.4 Class 12 Maths Question 11.
\(\frac { 1 }{ { 9x }^{ 2 }+6x+5 } \)
Solution:
![]()
Ex 7.4 Class 12 Maths Question 12.
\(\frac { 1 }{ \sqrt { 7-6x-{ x }^{ 2 } } } \)
Solution:

Ex 7.4 Class 12 Maths Question 13.
\(\frac { 1 }{ \sqrt { (x-1)(x-2) } } \)
Solution:

Ex 7.4 Class 12 Maths Question 14.
\(\frac { 1 }{ \sqrt { 8+3x-{ x }^{ 2 } } } \)
Solution:

Ex 7.4 Class 12 Maths Question 15.
\(\frac { 1 }{ \sqrt { (x-a)(x-b) } } \)
Solution:

Ex 7.4 Class 12 Maths Question 16.
\(\frac { 4x+1 }{ \sqrt { { 2x }^{ 2 }+x-3 } } \)
Solution:

Ex 7.4 Class 12 Maths Question 17.
\(\frac { x+2 }{ \sqrt { { x }^{ 2 }-1 } } \)
Solution:


Ex 7.4 Class 12 Maths Question 18.
\(\frac { 5x-2 }{ 1+2x+{ 3x }^{ 2 } } \)
Solution:
put 5x-2=A\(\frac { d }{ dx }\)(1+2x+3x²)+B
⇒ 6A=5, A=\(\frac { 5 }{ 6 }-2=2A+B\), B=\(-\frac { 11 }{ 3 }\)

Ex 7.4 Class 12 Maths Question 19.
\(\frac { 6x+7 }{ \sqrt { (x-5)(x-4) } } \)
Solution:



Ex 7.4 Class 12 Maths Question 20.
\(\frac { x+2 }{ \sqrt { 4x-{ x }^{ 2 } } } \)
Solution:



Ex 7.4 Class 12 Maths Question 21.
\(\frac { x+2 }{ \sqrt { { x }^{ 2 }+2x+3 } } \)
Solution:


Ex 7.4 Class 12 Maths Question 22.
\(\frac { x+3 }{ { x }^{ 2 }-2x-5 } \)
Solution:


Ex 7.4 Class 12 Maths Question 23.
\(\frac { 5x+3 }{ \sqrt { { x }^{ 2 }+4x+10 } } \)
Solution:


Ex 7.4 Class 12 Maths Question 24.
\(\int { \frac { dx }{ { x }^{ 2 }+2x+2 } equals } \)
(a) xtan-1(x+1)+c
(b) (x+1)tan-1x+c
(c) tan-1(x+1)+c
(d) tan-1x+c
Solution:

Ex 7.4 Class 12 Maths Question 25.
\(\int { \frac { dx }{ \sqrt { 9x-{ 4x }^{ 2 } } } equals } \)
(a) \(\frac { 1 }{ 9 } { sin }^{ -1 }\left( \frac { 9x-8 }{ 8 } \right) +c\)
(b) \(\frac { 1 }{ 2 } { sin }^{ -1 }\left( \frac { 8x-9 }{ 9 } \right) +c\)
(c) \(\frac { 1 }{ 3 } { sin }^{ -1 }\left( \frac { 9x-8 }{ 8 } \right) +c\)
(d) \({ sin }^{ -1 }\left( \frac { 9x-8 }{ 9 } \right) +c\)
Solution:

Move to Top → Class 12 Integrals Chapter 7
Integrals Class 12 Ex 7.5
Ex 7.5 Class 12 Maths Question 1.
\(\frac { x }{ (x+1)(x+2) }\)
Solution:

Ex 7.5 Class 12 Maths Question 2.
\(\frac { 1 }{ { x }^{ 2 }-9 } \)
Solution:

Ex 7.5 Class 12 Maths Question 3.
\(\frac { 3x-1 }{ (x-1)(x-2)(x-3) }\)
Solution:

Ex 7.5 Class 12 Maths Question 4.
\(\frac { x }{ (x-1)(x-2)(x-3) }\)
Solution:

Ex 7.5 Class 12 Maths Question 5.
\(\frac { 2x }{ { x }^{ 2 }+3x+2 } \)
Solution:

Ex 7.5 Class 12 Maths Question 6.
\(\frac { 1-{ x }^{ 2 } }{ x(1-2x) } \)
Solution:

Ex 7.5 Class 12 Maths Question 7.
\(\frac { x }{ \left( { x }^{ 2 }+1 \right) \left( x-1 \right) } \)
Solution:


Ex 7.5 Class 12 Maths Question 8.
\(\frac { x }{ { \left( x-1 \right) }^{ 2 }\left( x+2 \right) } \)
Solution:

Ex 7.5 Class 12 Maths Question 9.
\(\frac { 3x+5 }{ { x }^{ 3 }-{ x }^{ 2 }-x+1 } \)
Solution:

Ex 7.5 Class 12 Maths Question 10.
\(\frac { 2x-3 }{ ({ x }^{ 2 }-1)(2x+3) } \)
Solution:

Ex 7.5 Class 12 Maths Question 11.
\(\frac { 5x }{ (x-1)({ x }^{ 2 }-4) } \)
Solution:

Ex 7.5 Class 12 Maths Question 12.
\(\frac { { x }^{ 3 }+x+1 }{ { x }^{ 2 }-1 } \)
Solution:

Ex 7.5 Class 12 Maths Question 13.
\(\frac { 2 }{ (1-x)(1+{ x }^{ 2 }) } \)
Solution:

Ex 7.5 Class 12 Maths Question 14.
\(\frac { 3x-1 }{ { (x+2) }^{ 2 } } \)
Solution:

Ex 7.5 Class 12 Maths Question 15.
\(\frac { 1 }{ { x }^{ 4 }-1 } \)
Solution:

Ex 7.5 Class 12 Maths Question 16.
\(\frac { 1 }{ x({ x }^{ n }+1) } \)
[Hint : multiply numerator and denominator by xn-1 and put xn = t ]
Solution:


Ex 7.5 Class 12 Maths Question 17.
\(\frac { cosx }{ (1-sinx)(2-sinx) } \)
Solution:

Ex 7.5 Class 12 Maths Question 18.
\(\frac { \left( { x }^{ 2 }+1 \right) \left( { x }^{ 2 }+2 \right) }{ \left( { x }^{ 2 }+3 \right) \left( { x }^{ 2 }+4 \right) } \)
Solution:


Ex 7.5 Class 12 Maths Question 19.
\(\frac { 2x }{ ({ x }^{ 2 }+1)({ x }^{ 2 }+3) } \)
Solution:

Ex 7.5 Class 12 Maths Question 20.
\(\frac { 1 }{ x({ x }^{ 4 }-1) } \)
Solution:

Ex 7.5 Class 12 Maths Question 21.
\(\frac { 1 }{ { e }^{ x }-1 } \)
Solution:

Ex 7.5 Class 12 Maths Question 22.
choose the correct answer in each of the following :
\(\int { \frac { xdx }{ (x-1)(x-2) } equals } \)
(a) \(log\left| \frac { { (x-1) }^{ 2 } }{ x-2 } \right| +c\)
(b) \(log\left| \frac { { (x-2) }^{ 2 } }{ x-1 } \right| +c\)
(c) \(log\left| \left( \frac { x-{ 1 }^{ 2 } }{ x-2 } \right) \right| +c\)
(d) log|(x-1)(x-2)|+c
Solution:

Ex 7.5 Class 12 Maths Question 23.
\(\int { \frac { dx }{ x({ x }^{ 2 }+1) } equals } \)
(a) \(log|x|-\frac { 1 }{ 2 } log({ x }^{ 2 }+1)+c \)
(b) \(log|x|+\frac { 1 }{ 2 } log({ x }^{ 2 }+1)+c \)
(c) \(-log|x|+\frac { 1 }{ 2 } log({ x }^{ 2 }+1)+c\)
(d) \(\frac { 1 }{ 2 } log|x|+log({ x }^{ 2 }+1)+c \)
Solution:

Integrals Class 12 Ex 7.6
Ex 7.6 Class 12 Maths Question 1.
x sinx
Solution:

Ex 7.6 Class 12 Maths Question 2.
x sin3x
Solution:

Ex 7.6 Class 12 Maths Question 3.
\({ x }^{ 2 }{ e }^{ x }\)
Solution:

Ex 7.6 Class 12 Maths Question 4.
x logx
Solution:

Ex 7.6 Class 12 Maths Question 5.
x log2x
Solution:

Ex 7.6 Class 12 Maths Question 6.
\({ x }^{ 2 }logx\)
Solution:

Ex 7.6 Class 12 Maths Question 7.
\(x\quad { sin }^{ -1 }x\)
Solution:

Ex 7.6 Class 12 Maths Question 8.
\(x\quad { tan }^{ -1 }x\)
Solution:

Ex 7.6 Class 12 Maths Question 9.
\(x\quad { cos }^{ -1 }x\)
Solution:


Ex 7.6 Class 12 Maths Question 10.
\({ (sin }^{ -1 }{ x })^{ 2 }\)
Solution:

Ex 7.6 Class 12 Maths Question 11.
\(\frac { x\quad { cos }^{ -1 }x }{ \sqrt { 1-{ x }^{ 2 } } } \)
Solution:

Ex 7.6 Class 12 Maths Question 12.
x sec²x
Solution:

Ex 7.6 Class 12 Maths Question 13.
\({ ta }n^{ -1 }x\)
Solution:

Ex 7.6 Class 12 Maths Question 14.
x(logx)²
Solution:

Ex 7.6 Class 12 Maths Question 15.
(x²+1)logx
Solution:


Ex 7.6 Class 12 Maths Question 16.
\({ e }^{ x }(sinx+cosx)\)
Solution:

Ex 7.6 Class 12 Maths Question 17.
\(\frac { { xe }^{ x } }{ { (1+x) }^{ 2 } } \)
Solution:

Ex 7.6 Class 12 Maths Question 18.
\(\frac { { e }^{ x }(1+sinx) }{ 1+cosx } \)
Solution:


Ex 7.6 Class 12 Maths Question 19.
\({ e }^{ x }\left( \frac { 1 }{ x } -\frac { 1 }{ { x }^{ 2 } } \right) \)
Solution:

Ex 7.6 Class 12 Maths Question 20.
\(\frac { { (x-2)e }^{ x } }{ { (x-1) }^{ 3 } } \)
Solution:

Ex 7.6 Class 12 Maths Question 21.
\({ e }^{ 2x }sinx\)
Solution:

Ex 7.6 Class 12 Maths Question 22.
\({ sin }^{ -1 }\left( \frac { 2x }{ 1+{ x }^{ 2 } } \right) \)
Solution:

Choose the correct answer in exercise 23 and 24
Ex 7.6 Class 12 Maths Question 23.
\(\int { { x }^{ 2 }{ e }^{ { x }^{ 3 } } } dx\quad equals\)
(a) \(\frac { 1 }{ 3 } { e }^{ { x }^{ 3 } }+c\)
(b) \(\frac { 1 }{ 3 } +{ e }^{ { x }^{ 2 } }+c\)
(c) \(\frac { 1 }{ 2 } { e }^{ { x }^{ 3 } }+c\)
(d) \(\frac { 1 }{ 2 } { e }^{ { x }^{ 2 } }+c\)
Solution:

Ex 7.6 Class 12 Maths Question 24.
\(\int { { e }^{ x }secx(1+tanx) } dx\quad equals\)
(a) \({ e }^{ x }cosx+c\)
(b) \({ e }^{ x }secx+c\)
(c) \({ e }^{ x }sinx+c\)
(d) \({ e }^{ x }tanx+c\)
Solution:

Class 12 Integrals Ex 7.7
Integral the function in exercises 1 to 9
Ex 7.7 Class 12 Maths Question 1.
\(\sqrt { 4-{ x }^{ 2 } } \)
Solution:

Ex 7.7 Class 12 Maths Question 2.
\(\sqrt { 1-{ 4x }^{ 2 } } \)
Solution:

Ex 7.7 Class 12 Maths Question 3.
\(\sqrt { { x }^{ 2 }+4x+6 } \)
Solution:

Ex 7.7 Class 12 Maths Question 4.
\(\sqrt { { x }^{ 2 }+4x+1 } \)
Solution:

Ex 7.7 Class 12 Maths Question 5.
\(\sqrt { 1-4x-{ x }^{ 2 } } \)
Solution:

Ex 7.7 Class 12 Maths Question 6.
\(\sqrt { { x }^{ 2 }+4x-5 } \)
Solution:

Ex 7.7 Class 12 Maths Question 7.
\(\sqrt { 1+3x-{ x }^{ 2 } } \)
Solution:

Ex 7.7 Class 12 Maths Question 8.
\(\sqrt { { x }^{ 2 }+3x } \)
Solution:

Ex 7.7 Class 12 Maths Question 9.
\(\sqrt { 1+\frac { { x }^{ 2 } }{ 9 } } \)
Solution:

Choose the correct answer in the Exercises 10 to 11:
Ex 7.7 Class 12 Maths Question 10.
\(\int { \sqrt { 1+{ x }^{ 2 } } } dx\quad is\quad equal\quad to\)
(a) \(\frac { x }{ 2 } \sqrt { 1+{ x }^{ 2 } } +\frac { 1 }{ 2 } log|x+\sqrt { 1+{ x }^{ 2 } } |+c\)
(b) \(\frac { 2 }{ 3 } { \left( 1+{ x }^{ 2 } \right) }^{ \frac { 3 }{ 2 } }+c\)
(c) \(\frac { 2 }{ 3 } x{ \left( 1+{ x }^{ 2 } \right) }^{ \frac { 3 }{ 2 } }+c\)
(d) \(\frac { { x }^{ 2 } }{ 2 } \sqrt { 1+{ x }^{ 2 } } +\frac { 1 }{ 2 } { x }^{ 2 }log\left| x+\sqrt { 1+{ x }^{ 2 } } \right| +c\)
Solution:

Ex 7.7 Class 12 Maths Question 11.
\(\int { \sqrt { { x }^{ 2 }-8x+7 } } dx\quad is\quad equal\quad to\)

Solution:

Class 12 Integrals Ex 7.8
Ex 7.8 Class 12 Maths Question 1.
\(\int _{ a }^{ b }{ x\quad dx } \)
Solution:


Ex 7.8 Class 12 Maths Question 2.
\(\int _{ 0 }^{ 5 }{ (x+1)dx } \)
Solution:


Ex 7.8 Class 12 Maths Question 3.
\(\int _{ 2 }^{ 3 }{ { x }^{ 2 } } dx\)
Solution:


Ex 7.8 Class 12 Maths Question 4.
\(\int _{ 1 }^{ 4 }{ ({ x }^{ 2 }-x) } dx\)
Solution:



Ex 7.8 Class 12 Maths Question 5.
\(\int _{ -1 }^{ 1 }{ { e }^{ x } } dx\quad \)
Solution:


Ex 7.8 Class 12 Maths Question 6.
\(\int _{ 0 }^{ 4 }{ { (x+e }^{ 2x }) } dx\quad \)
Solution:


Class 12 Integrals Ex 7.9
Ex 7.9 Class 12 Maths Question 1.
\(\int _{ -1 }^{ 1 }{ { (x+1 }) } dx\quad \)
Solution:

Ex 7.9 Class 12 Maths Question 2.
\(\int _{ 2 }^{ 3 }{ \frac { 1 }{ x } dx } \)
Solution:

Ex 7.9 Class 12 Maths Question 3.
\(\int _{ 1 }^{ 2 }{ \left( { 4x }^{ 3 }-{ 5x }^{ 2 }+6x+9 \right) dx } \)
Solution:

Ex 7.9 Class 12 Maths Question 4.
\(\int _{ 0 }^{ \frac { \pi }{ 4 } }{ sin2x\quad dx } \)
Solution:

Ex 7.9 Class 12 Maths Question 5.
\(\int _{ 0 }^{ \frac { \pi }{ 2 } }{ cos2x\quad dx } \)
Solution:

Ex 7.9 Class 12 Maths Question 6.
\(\int _{ 4 }^{ 5 }{ { e }^{ x }dx } \)
Solution:

Ex 7.9 Class 12 Maths Question 7.
\(\int _{ 0 }^{ \frac { \pi }{ 4 } }{ tanx\quad dx } \)
Solution:

Ex 7.9 Class 12 Maths Question 8.
\(\int _{ \frac { \pi }{ 6 } }^{ \frac { \pi }{ 4 } }{ cosec\quad xdx } \)
Solution:

Ex 7.9 Class 12 Maths Question 9.
\(\int _{ 0 }^{ 1 }{ \frac { dx }{ \sqrt { 1-{ x }^{ 2 } } } } \)
Solution:

Ex 7.9 Class 12 Maths Question 10.
\(\int _{ 0 }^{ 1 }{ \frac { dx }{ 1+{ x }^{ 2 } } } \)
Solution:

Ex 7.9 Class 12 Maths Question 11.
\(\int _{ 2 }^{ 3 }{ \frac { dx }{ { x }^{ 2 }-1 } } \)
Solution:

Ex 7.9 Class 12 Maths Question 12.
\(\int _{ 0 }^{ \frac { \pi }{ 2 } }{ { cos }^{ 2 } } xdx\)
Solution:

Ex 7.9 Class 12 Maths Question 13.
\(\int _{ 2 }^{ 3 }{ \frac { x }{ { x }^{ 2 }+1 } } dx\)
Solution:

Ex 7.9 Class 12 Maths Question 14.
\(\int _{ 0 }^{ 1 }{ \frac { 2x+3 }{ { 5x }^{ 2 }+1 } dx } \)
Solution:

Ex 7.9 Class 12 Maths Question 15.
\(\int _{ 0 }^{ 1 }{ { xe }^{ { x }^{ 2 } }dx } \)
Solution:

Ex 7.9 Class 12 Maths Question 16.
\(\int _{ 1 }^{ 2 }{ \frac { { 5x }^{ 2 } }{ { x }^{ 2 }+4x+3 } dx } \)
Solution:


Ex 7.9 Class 12 Maths Question 17.
\(\int _{ 0 }^{ \frac { \pi }{ 4 } }{ \left( { 2sec }^{ 2 }x+{ x }^{ 3 }+2 \right) dx } \)
Solution:

Ex 7.9 Class 12 Maths Question 18.
\(\int _{ 0 }^{ \pi }{ \left( { sin }^{ 2 }\frac { x }{ 2 } -{ cos }^{ 2 }\frac { x }{ 2 } \right) } dx\)
Solution:

Ex 7.9 Class 12 Maths Question 19.
\(\int _{ 0 }^{ 2 }{ \frac { 6x+3 }{ { x }^{ 2 }+4 } } dx\)
Solution:

Ex 7.9 Class 12 Maths Question 20.
\(\int _{ 0 }^{ 1 }{ \left( { xe }^{ x }+sin\frac { \pi x }{ 4 } \right) dx } \)
Solution:

Ex 7.9 Class 12 Maths Question 21.
\(\int _{ 1 }^{ \sqrt { 3 } }{ \frac { dx }{ { 1+x }^{ 2 } } \quad equals } \)
(a) \(\frac { \pi }{ 3 } \)
(b) \(\frac { 2\pi }{ 3 } \)
(c) \(\frac { \pi }{ 6 } \)
(d) \(\frac { \pi }{ 12 } \)
Solution:

Ex 7.9 Class 12 Maths Question 22.
\(\int _{ 0 }^{ \frac { 2 }{ 3 } }{ \frac { dx }{ 4+{ 9x }^{ 2 } } equals } \)
(a) \(\frac { \pi }{ 6 }\)
(b) \(\frac { \pi }{ 12 }\)
(c) \(\frac { \pi }{ 24 }\)
(d) \(\frac { \pi }{ 4 }\)
Solution:

Move to Top → Class 12 Integrals Chapter 7
Integration Class 12 Ex 7.10
Ex 7.10 Class 12 Maths Question 1:

Solution:

Ex 7.10 Class 12 Maths Question 2:

Solution:

Ex 7.10 Class 12 Maths Question 3:
![]()
Solution:

Ex 7.10 Class 12 Maths Question 4:

Solution:

Ex 7.10 Class 12 Maths Question 5:

Solution:


Ex 7.10 Class 12 Maths Question 6:

Solution:


Ex 7.10 Class 12 Maths Question 7:
![]()
Solution:

Ex 7.10 Class 12 Maths Question 8:
![]()
Solution:

Ex 7.10 Class 12 Maths Question 9:

Solution:

Ex 7.10 Class 12 Maths Question 10:
![]()
Solution:

Ex 7.10 Class 12 Maths Question 11:
![]()
Solution:




Ex 7.10 Class 12 Maths Question 12:
![]()
Solution:



Ex 7.10 Class 12 Maths Question 13:
![]()
Solution:

Ex 7.10 Class 12 Maths Question 14:

Solution:

Ex 7.10 Class 12 Maths Question 15:

Solution:

Ex 7.10 Class 12 Maths Question 16:
![]()
Solution:

Ex 7.10 Class 12 Maths Question 17:

Solution:


Ex 7.10 Class 12 Maths Question 18:

Solution:


Ex 7.10 Class 12 Maths Question 19:
![]()

Solution:

Ex 7.10 Class 12 Maths Question 20:
![]()

Solution:

Move to Top → Class 12 Integrals Chapter 7
NCERT Solutions for Class 2 Maths Integration Class 12 Ex 7.11
![]()

![]()














![]()

![]()

![]()

![]()

![]()

![]()

![]()

![]()

![]()

![]()

![]()



![]()



![]()





![]()

![]()



![]()

![]()


![]()






![]()

![]()

![]()

![]()












Move to Top → Class 12 Integrals Chapter 7
NCERT Solutions for Class 12 Maths Chapter 7 Integrals Miscellaneous Exercise
Miscellaneous Exercise Class 11 Maths Question 1:
![]()
Solution:


Miscellaneous Exercise Class 11 Maths Question 2:

Solution:

Miscellaneous Exercise Class 11 Maths Question 3:
![]()
Solution:

vMiscellaneous Exercise Class 11 Maths Question 4:

Solution:


Miscellaneous Exercise Class 11 Maths Question 5:

Solution:

Miscellaneous Exercise Class 11 Maths Question 6:
![]()
Solution:

Miscellaneous Exercise Class 11 Maths Question 7:

Solution:

Miscellaneous Exercise Class 11 Maths Question 8:
![]()
Solution:

Miscellaneous Exercise Class 11 Maths Question 9:
![]()
Solution:

Miscellaneous Exercise Class 11 Maths Question 10:

Solution:

Miscellaneous Exercise Class 11 Maths Question 11:

Solution:

Miscellaneous Exercise Class 11 Maths Question 12:
![]()
Solution:

Miscellaneous Exercise Class 11 Maths Question 13:
![]()
Solution:

Miscellaneous Exercise Class 11 Maths Question 14:

Solution:


Miscellaneous Exercise Class 11 Maths Question 15:
![]()
Solution:

Miscellaneous Exercise Class 11 Maths Question 16:
![]()
Solution:

Miscellaneous Exercise Class 11 Maths Question 17:

Solution:

Miscellaneous Exercise Class 11 Maths Question 18:

Solution:

Miscellaneous Exercise Class 11 Maths Question 20:

Solution:


Miscellaneous Exercise Class 11 Maths Question 21:

Solution:

Miscellaneous Exercise Class 11 Maths Question 22:
![]()
Solution:

Miscellaneous Exercise Class 11 Maths Question 23:

Solution:

Miscellaneous Exercise Class 11 Maths Question 24:

Solution:


Miscellaneous Exercise Class 11 Maths Question 25:

Solution:

Miscellaneous Exercise Class 11 Maths Question 26:

Solution:

Miscellaneous Exercise Class 11 Maths Question 27:

Solution:


Miscellaneous Exercise Class 11 Maths Question 28:

Solution:


Miscellaneous Exercise Class 11 Maths Question 29:

Solution:

Miscellaneous Exercise Class 11 Maths Question 30:


Miscellaneous Exercise Class 11 Maths Question 31:
![]()
Solution:

Miscellaneous Exercise Class 11 Maths Question 32:
![]()
Solution:


Miscellaneous Exercise Class 11 Maths Question 33:
![]()
Solution:


Miscellaneous Exercise Class 11 Maths Question 34:

Solution:


Question 35:
![]()
Solution:

Miscellaneous Exercise Class 11 Maths Question 36:
![]()
Solution:

Miscellaneous Exercise Class 11 Maths Question 37:

Solution:

Miscellaneous Exercise Class 11 Maths Question 38:
![]()
Solution:

Miscellaneous Exercise Class 11 Maths Question 39:
![]()
Solution:

Miscellaneous Exercise Class 11 Maths Question 40:
![]()
Solution:


Miscellaneous Exercise Class 11 Maths Question 41:
![]()
Solution:


Miscellaneous Exercise Class 11 Maths Question 42:

Solution:


Miscellaneous Exercise Class 11 Maths Question 43:
![]()
Solution:


Miscellaneous Exercise Class 11 Maths Question 44:

Solution:


Move to Top → Class 12 Integrals Chapter 7
Integration Formulas







गणित कक्षा 12 समाकलन प्रश्नावली 7.1
निम्नलिखित फलनों के प्रतिअवकलज ( समाकलन) निरीक्षण विधि द्वारा ज्ञात कीजिए।
Ex 7.1 Class 11 Maths प्रश्न 1.
sin 2x
हल-
∫sin 2x dx
हम जानते हैं कि, \(\frac { d }{ dx }\) cos2x = -2 sin 2x
या sin 2x = \(-\frac{1}{2} \frac{d}{d x}\)cos2x
sin 2x = \(\frac{d}{d x}\)(\(-\frac{1}{2}\)cos2x)
अतः sin 2x का प्रति अवकलज \(-\frac{1}{2}\)cos 2x है।
Ex 7.1 Class 11 Maths प्रश्न 2.
cos 3x
हल-
∫cos 3x dx
हम जानते हैं कि, \(\frac { d }{ dx }\) sin 3x = 3 cos 3x
![]()
अत: cos3x का प्रति अवकलज \(\frac{1}{3}\) sin 3x हैं।
Ex 7.1 Class 11 Maths प्रश्न 3.
e2x
हल-
∫e2x dx
हम जानते हैं कि,

Ex 7.1 Class 11 Maths प्रश्न 4.
(ax + b)²
हल-
∫(ax + b)² dx
हम जानते हैं कि,

Ex 7.1 Class 11 Maths प्रश्न 5.
sin 2x – 4e3x
हल-
हम जानते हैं

निम्नलिखित समाकलनों को ज्ञात कीजिए।
Ex 7.1 Class 11 Maths प्रश्न 6.
∫(4e3x + 1) dx
हल-
∫(4e3x + 1) dx = 4∫e3xdx + ∫1 dx

Ex 7.1 Class 11 Maths प्रश्न 7.

हल-

Ex 7.1 Class 11 Maths प्रश्न 8.
∫(ax² + bx + c) dx
हल-
∫(ax² + bx + c) dx = a∫x²dx + b∫xdx + c∫1 dx

Ex 7.1 Class 11 Maths प्रश्न 9.
∫(2x² + ex) dx
हल-
∫(2x² + ex) dx = 2∫x² dx + ∫ex dx

Ex 7.1 Class 11 Maths प्रश्न 10.

हल-

Ex 7.1 Class 11 Maths प्रश्न 11.

हल-

Ex 7.1 Class 11 Maths प्रश्न 12.

हल-

Ex 7.1 Class 11 Maths प्रश्न 13.

हल-

Ex 7.1 Class 11 Maths प्रश्न 14.
∫(1-x)√x dx
हल-
∫(1-x)√x dx
=∫(√x-x√x)dx

Ex 7.1 Class 11 Maths प्रश्न 15.
∫√x(3x² + 2x + 3)dx
हल-
∫√x(3x² + 2x + 3)dx

Ex 7.1 Class 11 Maths प्रश्न 16.
∫(2x – 3cosx + ex)dx
हल-
∫(2x – 3cosx + ex)dx

प्रश्न 17.
∫(2x² – 3sinx + 5√x)dx
हल-
∫(2x² – 3sinx + 5√x)dx
= 2∫x² dx – 3 ∫ sinx dx + 5∫√x dx


Ex 7.1 Class 11 Maths प्रश्न 18.
∫secx (sec x + tan x) dx
हल-
∫sec x (sec x + tan x) dx
= ∫(sec² x + sec x tan x) dx
= ∫(sec² x dx
= ∫sec x tan x dx
tan x + sec x + C
Ex 7.1 Class 11 Maths प्रश्न 19.

हल-

Ex 7.1 Class 11 Maths प्रश्न 20.

हल-

प्रश्न 21 एवं 22 में सही उत्तर का चयन कीजिए
Ex 7.1 Class 11 Maths प्रश्न 21

हल-

Ex 7.1 Class 11 Maths प्रश्न 22

हल-
